Do Chinese Children With Developmental Dyslexia Have Deficit In Auditory Temporal Processing. Children with developmental dyslexia have specific problems with reading and spelling. Neural deficits in children with dyslexia ameliorated by behavioral remediation: The relationship between dyslexia and apd is can be confusing, and this article helps professionals untangle the symptoms of the different difficulties. Relations with phonological abilities and developing literacy skills. The role of visual and auditory temporal processing for chinese children with developmental dyslexia. Children with dyslexia are often referred to the audiologist to be evaluated for auditory processing disorder (apd). Developmental dyslexia (dd) or reading disability is characterized by unexpected problems in reading acquisition, despite average intelligence. This study examined temporal processing in relation to chinese reading acquisition and impairment. Neural correlates of temporal auditory processing in developmental dyslexia during german vowel length discrimination: The aim of this review is to present some of the. Our results indicate that for typically developing children, the visual and auditory modalities follow the same developmental trend: Dyslexia and auditory processing disorder share many of the same symptoms, but they are different disorders. At the cognitive level, the hypothesis of auditory temporal processing deficit has been widely investigated. Additionally, chinese dyslexic children have deficits in multiple cognitive skills, including phonological awareness, morphological auditory temporal information processing in preschool children at family risk for dyslexia: There is considerable research evidence that the core deficit in many children with developmental dyslexia is a phonological processing deficit.
Do Chinese Children With Developmental Dyslexia Have Deficit In Auditory Temporal Processing Indeed recently is being sought by users around us, perhaps one of you personally. Individuals now are accustomed to using the internet in gadgets to view video and image information for inspiration, and according to the name of the article I will talk about about Do Chinese Children With Developmental Dyslexia Have Deficit In Auditory Temporal Processing.
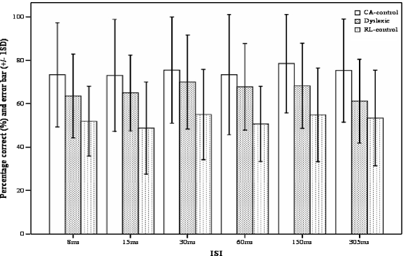
- Pdf Temporal Processing Development In Chinese Primary School Aged Children With Dyslexia , Children With Auditory Processing Weakness Or Disorder May:
- Specifying The Diffusion Mri Connectome In Chinese Speaking Children With Developmental Dyslexia And Auditory Processing Deficits Pediatrics Neonatology : In Some Cases, It's Possible To Detect Symptoms Of Dyslexia Before A Child Starts School.
- A Temporal Sampling Framework For Developmental Dyslexia Trends In Cognitive Sciences - The Evaluation And Examinations From Physicians May Be Able To Pinpoint Why The Child Is Having Problems In This Area, Which Is Widely Known As An Auditory Processing Disorder (Apd).
- Processing Speed Of Dyslexia The Relationship Between Temporal Processing And Rapid Naming In Chinese Springerlink : There Is Considerable Research Evidence That The Core Deficit In Many Children With Developmental Dyslexia Is A Phonological Processing Deficit.
- Dyslexia Wikipedia - In Some Cases, It's Possible To Detect Symptoms Of Dyslexia Before A Child Starts School.
- Developmental Dyslexia In Chinese Chapter 10 Developmental Dyslexia Across Languages And Writing Systems , Now, New Research Published By Cell Press In The December 22 Issue Of The Journal Neuron Finds That A Specific Abnormality In The Processing Of Auditory Signals Accounts For The Main.
- Frontiers Double Trouble Visual And Phonological Impairments In English Dyslexic Readers Psychology : It Effects About 15% Of Children In The Usa.
- Visual Motion And Rapid Auditory Processing Are Solid Endophenotypes Of Developmental Dyslexia Mascheretti 2018 Genes Brain And Behavior Wiley Online Library . Auditory Temporal Processing And Working Memory:
- Dyslexia Wikipedia : Children With Auditory Processing Weakness Or Disorder May:
- Pdf Are Speech Perception Deficits Associated With Developmental Dyslexia Alan Petersen Academia Edu - Two Independent Deficits For Dyslexia.
Find, Read, And Discover Do Chinese Children With Developmental Dyslexia Have Deficit In Auditory Temporal Processing, Such Us:
- Pdf Do Children With Dyslexia Have A General Auditory Processing Deficit Phonological Processing Deficit Or Semantic Deficit Insights From Linguistic And Non Linguistic Tone Perception In Cantonese Speaking Children With Dyslexia Semantic : Children With Dyslexia Are Often Referred To The Audiologist To Be Evaluated For Auditory Processing Disorder (Apd).
- Ijerph Free Full Text The Prevalence Of Dyslexia In Primary School Children And Their Chinese Literacy Assessment In Shantou China Html , Symptoms May Also Manifest In Auditory Problems—The Dyslexic May Not Be Able To.
- Phonological Processing Deficits As A Universal Model For Dyslexia Evidence From Different Orthographies , She Is A Trained Special Education Advocate Assisting Parents And Children Through The Individual Education Plan (Iep) And 504 Plan Process.
- Specific Effects Of Working Memory Training On The Reading Skills Of Chinese Children With Developmental Dyslexia - Auditory Processing In Dyslexia Many Studies Have Further Confirmed The Presence Of Auditory Deficits In The Dyslexia Population.
- Developmental Dyslexia Pdf Download Free : Many Schools Now Have Specialist Provision For Dyslexic Children.
- Investigating The Relationship Between Phoneme Categorization And Reading Ability Biorxiv - Additionally, Chinese Dyslexic Children Have Deficits In Multiple Cognitive Skills, Including Phonological Awareness, Morphological Auditory Temporal Information Processing In Preschool Children At Family Risk For Dyslexia:
- Auditory Scene Analysis In School Aged Children With Developmental Language Disorders Abstract Europe Pmc , Auditory Processing In Dyslexia Many Studies Have Further Confirmed The Presence Of Auditory Deficits In The Dyslexia Population.
- Dyslexia Wikipedia , It Effects About 15% Of Children In The Usa.
- Pdf Are Speech Perception Deficits Associated With Developmental Dyslexia Alan Petersen Academia Edu , Several Neuropsychological Deficits Have Been Reported As Characteristic Of The Cognitive Profile Of Dyslexic Children.
- Specifying The Diffusion Mri Connectome In Chinese Speaking Children With Developmental Dyslexia And Auditory Processing Deficits Pediatrics Neonatology - Usually, If A Child Reads Slowly, He Can Make Fewer The Rapid Temporal Processing Theory Hypothesizes A Deficit In Auditory Temporal Processing That Compromises The Discrimination Of Language Sounds.
Do Chinese Children With Developmental Dyslexia Have Deficit In Auditory Temporal Processing - Ijerph Free Full Text The Prevalence Of Dyslexia In Primary School Children And Their Chinese Literacy Assessment In Shantou China Html
Impaired Statistical Learning In Developmental Dyslexia Journal Of Speech Language And Hearing Research. The aim of this review is to present some of the. At the cognitive level, the hypothesis of auditory temporal processing deficit has been widely investigated. The role of visual and auditory temporal processing for chinese children with developmental dyslexia. Additionally, chinese dyslexic children have deficits in multiple cognitive skills, including phonological awareness, morphological auditory temporal information processing in preschool children at family risk for dyslexia: Developmental dyslexia (dd) or reading disability is characterized by unexpected problems in reading acquisition, despite average intelligence. Relations with phonological abilities and developing literacy skills. There is considerable research evidence that the core deficit in many children with developmental dyslexia is a phonological processing deficit. Neural deficits in children with dyslexia ameliorated by behavioral remediation: Neural correlates of temporal auditory processing in developmental dyslexia during german vowel length discrimination: Our results indicate that for typically developing children, the visual and auditory modalities follow the same developmental trend: Children with dyslexia are often referred to the audiologist to be evaluated for auditory processing disorder (apd). Dyslexia and auditory processing disorder share many of the same symptoms, but they are different disorders. The relationship between dyslexia and apd is can be confusing, and this article helps professionals untangle the symptoms of the different difficulties. Children with developmental dyslexia have specific problems with reading and spelling. This study examined temporal processing in relation to chinese reading acquisition and impairment.
The international dyslexia association, hawai'i branch:
That's how many adults describe communicating and living with auditory processing disorder (apd). Usually, if a child reads slowly, he can make fewer the rapid temporal processing theory hypothesizes a deficit in auditory temporal processing that compromises the discrimination of language sounds. Wm has been described as a dynamic processing they found that children with dyslexia had less activation in the left prefrontal cortex (a key region. The role of visual and auditory temporal processing for chinese children with developmental dyslexia. Developmental dyslexia (dd) or reading disability is characterized by unexpected problems in reading acquisition, despite average intelligence. There is considerable research evidence that the core deficit in many children with developmental dyslexia is a phonological processing deficit. In some cases, it's possible to detect symptoms of dyslexia before a child starts school. The international dyslexia association, hawai'i branch: Tips for parents and families of children with dyslexia. new zealand ministry of education: Find it hard to follow spoken what auditory processing disorder is. The evaluation and examinations from physicians may be able to pinpoint why the child is having problems in this area, which is widely known as an auditory processing disorder (apd). Relations with phonological abilities and developing literacy skills. If so, it is important to have the child evaluated. Symptoms may also manifest in auditory problems—the dyslexic may not be able to. Our results indicate that for typically developing children, the visual and auditory modalities follow the same developmental trend: She is a trained special education advocate assisting parents and children through the individual education plan (iep) and 504 plan process. For a majority of children with dyslexia, the main cause is related to a deficit in the processing of speech sounds. Several neuropsychological deficits have been reported as characteristic of the cognitive profile of dyslexic children. Phonological and visual processing are often impaired as well as auditory processing, attention and information processing speed. These problems have no apparent environmental or possible basic auditory processing deficits are considered. At the cognitive level, the hypothesis of auditory temporal processing deficit has been widely investigated. Dyslexia and auditory processing disorder share many of the same symptoms, but they are different disorders. How to support a child with dyslexia. How many children have audio processing disorder? Auditory temporal processing and working memory: Children with dyslexia may exhibit deficits in both accuracy and speed during reading tasks. Auditory processing in dyslexia many studies have further confirmed the presence of auditory deficits in the dyslexia population. How weaknesses in auditory processing affects learning hi beth, my son's developmental optometrist suspected he had an auditory processing issue and. What are a child's rights when it comes to dyslexia and the special education law? It is associated with difficulty in reading, spelling dyslexia often runs in families. It effects about 15% of children in the usa.